作者: 一袭青衫

[生活记录] 哪位兄弟高中数学好,救救我(´・̥̥̥̥ω・̥̥̥̥`)

积分成就

用户组:至尊神探

书币:0

推理币:5940

 作者| 发表于 2020-3-20 00:43:44 来自移动端 | 显示全部楼层
名偵探工藤 发表于 2020-3-20 00:42
题型呢?

我看不出来

积分成就

用户组:至尊神探

书币:0

推理币:5940

 作者| 发表于 2020-3-20 00:44:42 来自移动端 | 显示全部楼层
名偵探工藤 发表于 2020-3-20 00:44
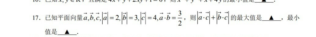
怎么是向量?

就是这玩意儿

积分成就

用户组:至尊神探

书币:0

推理币:5940

 作者| 发表于 2020-3-20 00:46:11 来自移动端 | 显示全部楼层
名偵探工藤 发表于 2020-3-20 00:45
向量是弱项。

qwq

积分成就

用户组:至尊神探

书币:0

推理币:5940

 作者| 发表于 2020-3-20 00:50:11 来自移动端 | 显示全部楼层
名偵探工藤 发表于 2020-3-20 00:49
不一样

昂,不一样

积分成就

用户组:至尊神探

书币:0

推理币:5940

 作者| 发表于 2020-3-20 00:51:18 来自移动端 | 显示全部楼层
名偵探工藤 发表于 2020-3-20 00:50
我试试

谢谢,谢谢

积分成就

用户组:至尊神探

书币:0

推理币:5940

 作者| 发表于 2020-3-20 00:55:20 来自移动端 | 显示全部楼层
名偵探工藤 发表于 2020-3-20 00:53
别抱太大希望

积分成就

用户组:至尊神探

书币:0

推理币:9617

发表于 2020-3-20 01:19:28 来自移动端 | 显示全部楼层
角不会,Cos对应的角过大,值变小,过小的话,值又较大

积分成就

用户组:至尊神探

书币:0

推理币:9617

发表于 2020-3-20 01:19:42 来自移动端 | 显示全部楼层
抱歉

积分成就

用户组:至尊神探

书币:0

推理币:5940

 作者| 发表于 2020-3-20 01:39:05 来自移动端 | 显示全部楼层
名偵探工藤 发表于 2020-3-20 01:12
抱歉

没事没事,谢谢啊

积分成就

用户组:至尊神探

书币:0

推理币:5940

 作者| 发表于 2020-3-20 01:39:17 来自移动端 | 显示全部楼层
黑色奇迹 发表于 2020-3-20 01:19
抱歉

没事没事,谢谢
返回列表 发新主题 回复
小黑屋| 隐私政策| 侵权投诉| 数字千年版权法(DMCA)| 切换繁体 |捐助本站
copyright 2019-2023 推理罪 All Rights Reserved