查看: 4161|回复: 13

[脑力风暴] 有意思的小题

积分成就

用户组:狂热侦探

书币:0

推理币:4505

发表于 2021-4-4 14:51:29 | 显示全部楼层 |阅读模式
现在有甲乙丙三个小朋友互相传球,由甲开始传,每次传球传给另外两个小朋友的概率都是二分之一,甲传给乙或丙记作第一次,问第五十次传给甲的概率。



积分成就

用户组:超级侦探

书币:35

推理币:910

发表于 2021-4-8 07:02:19 来自移动端 | 显示全部楼层
我记得这是高中排列组合的一道题,可惜,我不会

积分成就

用户组:超级侦探

书币:43

推理币:459

发表于 2021-4-8 11:50:14 来自移动端 | 显示全部楼层
1/3+1/3*2^49

积分成就

用户组:超级侦探

书币:43

推理币:459

发表于 2021-4-8 11:53:57 来自移动端 | 显示全部楼层
pa-1/3=-1/2*(pb-1/3)
a=b+1

积分成就

用户组:推理新人

书币:0

推理币:61

发表于 2021-4-10 14:22:07 | 显示全部楼层
设:四十九个拿到小球是乙,传给甲二分之一。拿到球是丙,也是二分之一。拿到球的是甲,则零。
所以概率是三分之一吧?

访客  发表于 2021-4-11 22:51:26

接近了,但不对,应该是计算的问题。
访客  发表于 2021-4-11 22:54:43
コナン 发表于 2021-4-10 14:22
设:四十九个拿到小球是乙,传给甲二分之一。拿到球是丙,也是二分之一。拿到球的是甲,则零。
所以概率是 ...

思路没有问题,如果次数无限大,那么概率将无限趋近于三分之一,但是现在要精确值。
访客  发表于 2021-4-11 23:01:07
很高兴见到你 发表于 2021-4-8 07:02
我记得这是高中排列组合的一道题,可惜,我不会

不是排列组合哦,是数列与概率的结合
访客  发表于 2021-4-11 23:02:03
コナン 发表于 2021-4-10 14:22
设:四十九个拿到小球是乙,传给甲二分之一。拿到球是丙,也是二分之一。拿到球的是甲,则零。
所以概率是 ...

如果之后没人答对,就给你最佳

积分成就

用户组:超级侦探

书币:35

推理币:910

发表于 2021-4-12 13:18:03 来自移动端 | 显示全部楼层
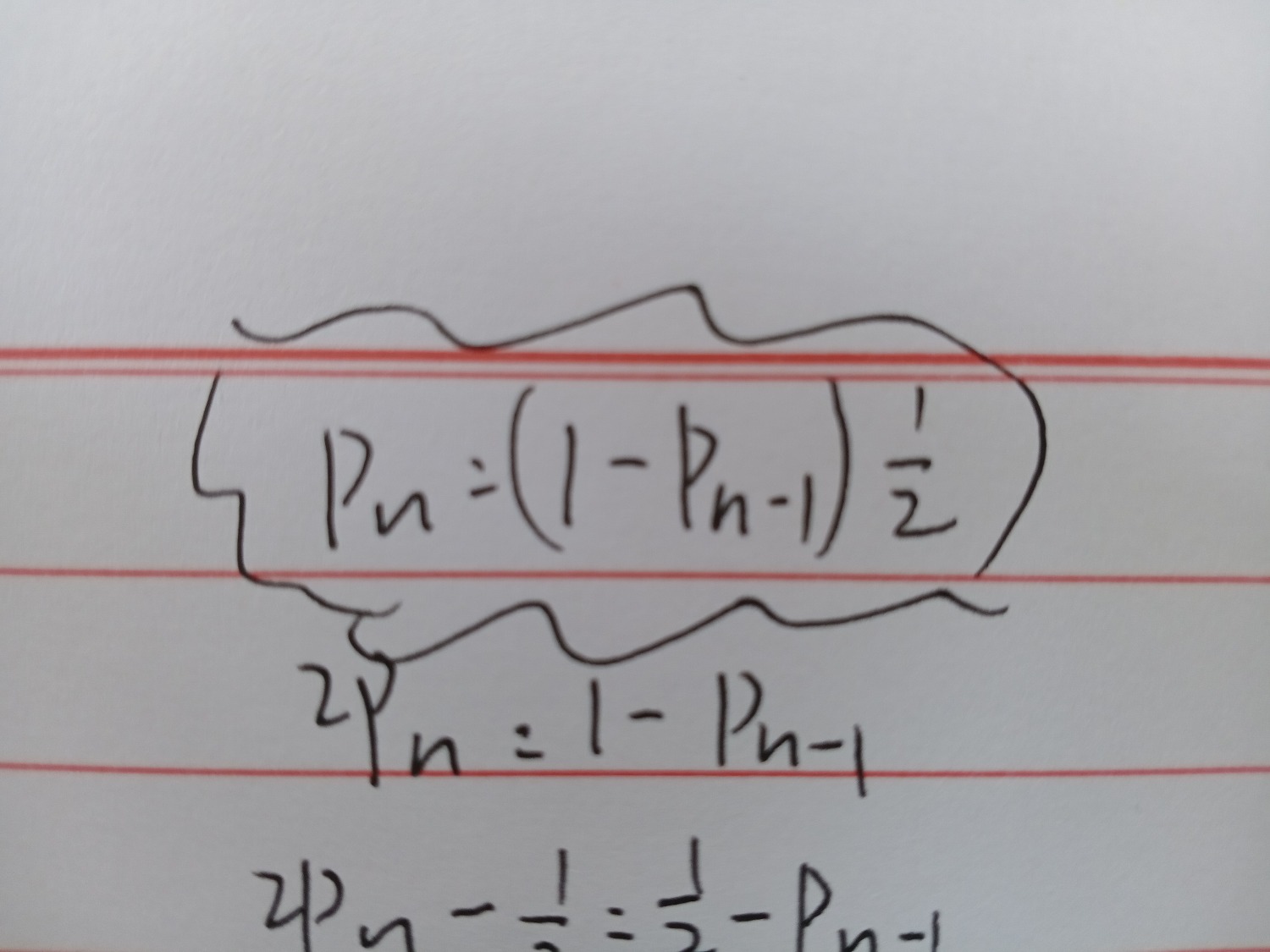
1618204266217.jpg 由最后化简可知,当n=50。五十球后的概率可以约等于三个之一

如果第五十球传给甲,则说明第四十九球一定没传给甲,如果四十九球给了甲,则说明四十八球一定没传给甲。于是就可以推得一个数列 1618204493640.jpg 其p1=1化简带入后可以得到答案
12下一页
返回列表 发新主题 回复
小黑屋| 隐私政策| 侵权投诉| 数字千年版权法(DMCA)| 切换繁体 |捐助本站
copyright 2019-2023 推理罪 All Rights Reserved